一氧化碳CO的分子結構介紹
- 發布時間:2023-04-11
- 發布者: 本站
- 來源: 原創
- 閱讀量:
CO分子是由一個C原子和一個O原子結合成的異核雙原子分子,分子形狀為直線形。根據電子配對法(價鍵理論),C原子(1s22s22px2py)和O原子(1s22s22px22py2pz)各含兩個未成對的電子,由此可以構成兩個共價鍵:一個是2px沿x軸偶合構成的σ鍵,另一個是2py電子沿x軸“肩并肩”構成π鍵。與此相應的,其雙鍵的特性應該與一般的碳氧雙鍵(羰基)一樣,即鍵長為121 pm、鍵能為724 kJ/mol〔約173千卡/克鍵,克鍵指1克分子(gram-atom)物質所含鍵的數量,即1mol鍵 〕、偶極矩為7.7×10-30C·m(約2.3德拜)。但實際測得CO的鍵長為113 pm,比一般碳氧雙鍵的短;鍵能為1071.1kJ/mol(約256千卡/克鍵),比一般碳氧雙鍵的大;偶極矩為3.3×10-31 C·m(約0.1德拜),約為一般碳氧雙鍵的 。由于以上矛盾,有學者提出了三重鍵的結構式: ,即在CO分子中,除有一個σ鍵和一個π鍵外,還有一個配位鍵(用“←”表示)。
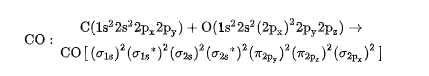
而按照分子軌道法(分子軌道理論),可以自然地得到CO分子具有三重鍵的結構。按照分子軌道法,CO分子軌道是由C原子軌道和O原子軌道組合而成的,CO分子軌道形成式為
從CO分子軌道形成式來看,CO分子和N2分子結構十分相似,都是以三重鍵(σ+π+π)結合的:一個σ鍵(),兩個π鍵(和),其中一個π鍵為配位鍵,共用電子對由O原子提供。其成鍵過程為:C原子的最外層有4個電子,O原子的最外層有6個電子,C原子的2個單電子進入到O原子的p軌道和O原子的2個單電子配對成鍵,形成兩個共價鍵,然后O原子的孤電子對進入到C原子空的P軌道中形成一個配位鍵,總共形成了三個共價鍵。
由于是CO分子是以三重鍵結合的,故CO的鍵長比一般碳氧雙鍵短、鍵能比一般碳氧雙鍵大;同時,由于O原子的電負性比C原子的高,電子云應該偏向O原子,從而CO分子應該有較大的偶極矩,但CO分子中形成配位鍵的電子對是由O原子單獨提供的,使電子云又反饋到C原子上,在一定程度上補償了因O原子和C原子間電負性差所造成的極性,使得CO分子偶極矩很小,與CO分子偶極矩很小的事實一致。





